(来学网)某水电站装有4台机组主变压器,采用发电机一变压器之间单元接线,发电机额定电压为15.75kV,1号和3号发电机端装有厂用电源分支引线,无直馈线路,主变压器高压侧所连接的220kV屋外配电装置是双母线带旁路接线,电站出线四回,电站属于停机频繁的调峰水电站。
  1. 水电站的坝区供电采用10kV,配电网络为电缆线路,因此10kV系统电容电流超过30A,当发生单相接地故障,接地电弧不易自行熄灭,常形成熄灭和重燃交替的间歇性电弧,往往导致电磁能的强烈震荡,使故障相、非故障相和中性点都产生过电压,请问这种过电压属于下列哪种类型?并说明理由。( )
    A.
    (来学网)工频过电压
    B.
    (来学网)操作过电压
    C.
    (来学网)谐振过电压
    D.
    (来学网)雷电过电压
  2. 若坝区供电的10kV配电系统中性点采用低电阻接地方式,请计算10kV母线上的避雷器的额定电压和持续运行电压应取下列哪些数值?并简要说明理由。( )
    A.
    (来学网)12kV,9.6kV
    B.
    (来学网)16.56kV,13.2kV
    C.
    (来学网)15kV,12kV
    D.
    (来学网)10kV,8.0kV
  3. 水电站的变压器场地布置在坝后式厂房的尾水平台上,220kV敞开式开关站位于右岸,其220kV主接线上有无间隙金属氧化物避雷器,电站进线4回,初期2回进线,采用同塔双回路形式,变压器雷电冲击全波耐受电压为950kV,主变压器距离220kV开关站避雷器电气距离180m,请说明当校核是否在主变压器附近增设一组避雷器时,应按下列几回线路来校核?( )
    A.
    (来学网)1回
    B.
    (来学网)2回
    C.
    (来学网)3回
    D.
    (来学网)4回
  4. 若水电站每台发电机端均装的避雷器,1号和3号厂用电源分支采用带金属外皮的电缆段引接,电缆段长40m,请说明主变压器低压侧避雷器应按下列哪项配置?( )
    A.
    (来学网)需装设避雷器
    B.
    (来学网)需装设2组避雷器
    C.
    (来学网)需装设1组避雷器
    D.
    (来学网)无需装设避雷器
  5. 若该电厂的污秽等级为Ⅱ级,海拔2800m,请计算220kV配电装置外绝缘的爬电比距应选下列哪组,通过计算并简要说明理由。( )
    A.
    (来学网)1.6cm/kV
    B.
    (来学网)2.0cm/kV
    C.
    (来学网)2.5cm/kV
    D.
    (来学网)3.1cm/kV
正确答案:
(1)B
(2)A
(3)B
(4)D
(5)C
答案解析:
2.低电阻接地的10kV侧额定电压:
持续运行电压:
3.架空进线采用双回路杆塔,有同时遭到雷击的可能,确定阀式避雷
器与变压器最大电气距离时,应按一路考虑,且在雷季中宜避免将其中一路断开。
题干中最终进线为4回,采用同塔双回路,故按2回路考虑。
4.为防止来自高压绕组的雷电波的静电感应电压危及低压绕组绝缘,应在变压器低压绕组出线上安装一组避雷器,但如该绕组连有25m及以上金属外皮电缆段,则可不必安装避雷器。
本题电缆段长度为40m,故不需设置避雷器。
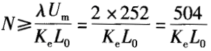
5.Ⅱ级污秽区220kV变电站的爬电距离为:λ=2cm/kV
按工频电压爬电距离为:
N=N[1+0.1(H-1)]=Ⅳ[1+0.1×(2.8-1)]=1.18N
则:
λ≥2×1.18=2.36cm/kV