• 选课
  • 题库
  • 2026卫生
  • 讲师
  • 考试资讯
  • 员工核验
  • 防骗
  • 质检
  • 400-118-6070
  • 登录
  • 注册
(来学网)某架空送电线路给定离地10m高时的基准设计风速υ=30m/s,求离地面20m高时的基准风压是下列何值?( )
  • A.
    0.563kN/m(来学网)
  • B.
    0.441kN/m(来学网)
  • C.
    0.703kN/m(来学网)
  • D.
    0.432kN/m(来学网)
正确答案:
C
答案解析:
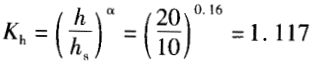
风速高度变化系数:
基准风压标准值:
上一题下一题
发输变电
  • 历年真题精选一
  • 历年真题精选二
  • 历年真题精选三(案例题(选择题))
  • 历年真题精选四(案例题(选择题))
  • 历年真题精选五
  • 历年真题精选六
  • 历年真题精选七(案例题(选择题))
  • 历年真题精选八(案例题(选择题))
  • 历年真题精选九
  • 历年真题精选十
  • 历年真题精选十一(案例题(选择题))
  • 历年真题精选十二(案例题(选择题))
  • 历年真题精选十三
  • 历年真题精选十四
  • 历年真题精选十五(案例题(选择题))
  • 历年真题精选十六(案例题(选择题))
  • 历年真题精选十七
  • 历年真题精选十八
  • 历年真题精选十九(案例题(选择题))
  • 历年真题精选二十(案例题(选择题))
友情提示
确定取消
  • 投诉
  • 我的
  • 客服
  • 反馈
  • 反诈声明
  • 免责声明
  • 扫描关注官方公众号 点击可查询
    招生授权微信号
回顶部

关于我们: 来学网致力于成人职业教育软件的研发与运营、主要提供以下职业考试软件服务:初级会计师、中级会计职称、经济师、一级建造师、二级建造师、等成人职称技能教育的模拟题库练习及备考软件服务。
来学网—未来因学而变! >点击查看更多

品牌运营公司:上海来学网教育科技有限公司(工商执照,021-60516439)

技术服务与支持公司:畅学文化(工商执照,021-60543805)

版权所有 © 2014-2025,来学网

官方公众号

官方小程序

来学宝典

联系我们

客服热线
400-118-6070
投诉与监督
021-60342241
021-60340984
监督举报邮箱
laixuefawu@126.com
我要投诉

公司地址

注册地址:上海市奉贤区青村镇奉柘公路3108号1600室

普陀公司:上海市普陀区曹杨路1040弄中谊大厦2号楼19层北

点击查看 >>  全国运营中心

  • 退费骗局
  • 来学网客户公约
  • 价格公示
  • 用户注册协议
  • 隐私政策
  • 官方微信公众号
  • 来学词条
  • 公司荣誉
  • 沪ICP备14016521号-1品牌官网360信用认证百度实名认证广播电视节目制作经营许可证增值电信业务经营许可证
    网站信用认证证书企业实名证书营业执照网络文化经营许可证沪公网安备31011502008512号网络社会证信网
    开发者:畅考信息科技  |  应用版本:2.5.1  |  应用权限:查看详情>>  |  隐私政策:查看详情>>  |  用户协议