单选题
看题模式
5
/
98
5.
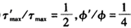
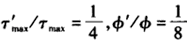
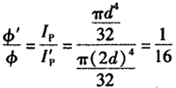
已知圆截面杆扭转时,横截面上的最大剪应力为τ
,两端面间的相对扭转角为φ。若圆杆的直径增大一倍(即为原直径的两倍),则此时的最大剪应力τ'
和相对扭转角φ'与原来的τ
和φ的比值为( )。
,两端面间的相对扭转角为φ。若圆杆的直径增大一倍(即为原直径的两倍),则此时的最大剪应力τ'
和相对扭转角φ'与原来的τ
和φ的比值为( )。
A.
B.
C.
D.

成反比,可得

