Toggle navigation
资讯
直播
课程
题库
微信
客服电话:400-118-6070
记录
没有观看记录
通知
没有消息
匿名用户
关注来学网公众号
习题集
公共基础
数学(单选题3)
单选题
看题模式
2
/
118
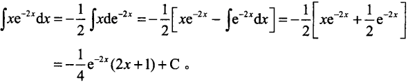
2.
(2010)若
( )(式中C为任意常数)。
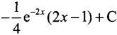
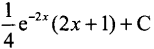
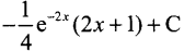
A.
B.
C.
D.
上一题
下一题
您所在的题目:
单选题
1
2
3
4
5
6
7
8
9
10
11
12
13
14
15
16
17
18
19
20
21
22
23
24
25
26
27
28
29
30
31
32
33
34
35
36
37
38
39
40
41
42
43
44
45
46
47
48
49
50
51
52
53
54
55
56
57
58
59
60
61
62
63
64
65
66
67
68
69
70
71
72
73
74
75
76
77
78
79
80
81
82
83
84
85
86
87
88
89
90
91
92
93
94
95
96
97
98
99
100
101
102
103
104
105
106
107
108
109
110
111
112
113
114
115
116
117
118
正确
错误
未做
交卷
×
友情提示
×
友情提示