Toggle navigation
资讯
直播
课程
题库
微信
客服电话:400-118-6070
记录
没有观看记录
通知
没有消息
匿名用户
关注来学网公众号
历年真题
历年真题
2025年二级建造师公路工程真题
单项选择题
看题模式
2
/
34
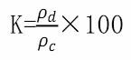
2.
压实度计算公式
中,ρc是()。
A.
试样的干密度
B.
试样的湿密度
C.
由击实等试验得到的最大干密度
D.
量砂的松方密度
上一题
下一题
您所在的题目:
单项选择题
1
2
3
4
5
6
7
8
9
10
11
12
13
14
15
16
17
18
19
20
多项选择题
1
2
3
4
5
6
7
8
9
10
案例题
1
2
3
4
正确
错误
未做
交卷
×
友情提示
×
友情提示