单项选择题
看题模式
3
/
71
3.
某企业拟开发一项新技术,经评估,预计该技术开发的物质消耗为400万元,人力消耗为500万元,技术复杂系数为1.3,研发的风险概率为40%,根据技术价值评估的成本模型,该技术成果的价格为()万元。
A.
702
B.
1154
C.
1950
D.
1500
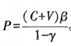
。式中,P为技术商品的评估价格;C为技术开发中的物质消耗;V为技术开发中的人力消耗;β为技术复杂系数(β>1);γ为研究开发的风险概率(失败概率)。代入数据,