2025年一级建造师考试建设工程经济计算题专项训练
2025年04月22日 来源:来学网1.某项借款金额为1000万元,年利率4.8%,期限5年,采用单利计息,到期一次还本付息,第4年应计利息为()万元。
A.48
B.96
C.144
D.192
【答案】A
【解析】单利计息是指在计算一个周期的利息时,仅用最初本金为基数计算当期利息,“本金”不计入先前计息周期中所累积增加的利息,即通常所说的“利不生利”的计息方法。
故每个计息周期的利息额相同。
第4年应计息:I=1000×4.8%=48万元
2.某项借款金额为1000万元,年利率4.8%,期限5年,采用复利计息,到期一次还本付息,第4年应计利息为()万元。
A.48.0000
B.50.3040
C.52.7186
D.55.2491
【答案】D
【解析】复利计息是指在计算某一计息周期的利息额时,其先前计息周期所累积的利息要作为计算本期利息的基数,即“利生利”“利滚利”的计息方式。
第t个计息周期利息计算表达式为:It=Ft-1×i
第t个计息周期末本利和的计算表达式为Ft=F0·(1+i)t
第3年末本利和:1000×(1+4.8%)3=1151.0226万元
第4年应计利息:1151.0226×4.8%=55.2491万元
复利计息完整计算过程见下表:
3.某公司从银行借款2000万元,1年后付息80万元,则年利率为()。
A.4%
B.5%
C.6%
D.8%
【答案】A
【解析】利率,也称利息率,是单位时间内应得或应付利息额与本金之比,一般用百分数表示。年利率i=80÷2000×100%=4%
4.某公司以单利方式一次性借入资金2000万元,借款期限3年,年利率8%,到期一次还本
付息,则第三年末应当偿还的本利和为()万元。
A.2160
B.2240
C.2480
D.2519
【答案】C
【解析】注意是单利计息,到期一次还本付息,借款期限3年。
第三年末应当偿还的本利和为:2000×8%×3+2000=2480万元
5.某企业从银行借入1年期的短期借款500万元,年利率12%,按季度计算并支付利息,
则每季度需支付利息()万元。
A.15.00
B.15.15
C.15.69
D.20.00
【答案】A
【解析】该借款是按季度计算并支付利息,故计息周期为1个季度,在每个计息周期内会支付利息,故相当于属于单利计息的。
每季度的利率则是:12%÷4=3%,每季度的利息为:500×3%=15万元。
6.某项借款金额为1000万元,月利率为0.3%,按月复利计息,借款期限为1年,则年名义
利率为()。
A.0.3%
B.1.2%
C.1.8%
D.3.6%
【答案】D
【解析】名义利率r是指计息周期利率i乘以一年内的计息周期数m所得的年利率。
即:r=i×m=0.3%×12=3.6%。
7.某企业从金融机构借款100万元,月利率1%,按月复利计息,每季度付息一次,则该企
业一年需向金融机构支付利息()万元。
A.12.00
B.12.12
C.12.55
D.12.68
【答案】B
【解析】本题中的计息周期为月,资金收付周期(付息周期)为季度。
月利率:i=1%,每个季度(3个月)复利计息3次。
季度有效利率:i=(1+1%)3-1=3.03%
每季度支付的利息:100×3.03%=3.03万元
一年共支付的利息:3.03×4=12.12万元
8.已知年利率8%,按季度复利计息,则半年有效利率是()。
A.4.00%
B.4.04%
C.4.07%
D.4.12%
【答案】B
【解析】有效利率公式:i=(1+r/m)m-1
式中,r—名义利率,m—计息次数。
本题中,r/m是季度利息,半年内计息两次,因此,半年有效利率=(1+8%/4)2-1=4.04%
注意错误解答:年有效利率=(1+8%/4)4-1=8.24%,半年有效利率=8.24%/2=4.12%
错误之处在于:此题是按季度复利计息,1年内计息4次,虽然年有效利率是考虑了复利计息4次的,但直接除以2计算得到的并不是半年有效利率了。
我们可以反向理解下,因为是复利计息的,半年有效利率×2并不等于年有效利率的。应该是(1+半年有效利率)2-1=年有效利率
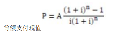
9.期望5年内每年年末从银行提款10000元,年利率为10%,按复利计,期初应存入银行()。
A.37908元
B.41700元
C.43550元
D.50000元
【答案】A
【解析】这是典型的等额支付现值计算,已知年金A求P,计算公式如下表所示。
其中A=10000,i=10%,n=5,代入公式进行计算:
P=10000×(1.15-1)/(0.1×1.15)=37907.87
10.假设小王每半年末存款2000元,年利率为4%,每季复利计息一次,则小王2年末存款
本息和为()元。
A.8492.93
B.8244.45
C.8243.22
D.8160.00
【答案】B
【解析】每半年末存款一次,但是每季会复利计息一次
半年实际利率为:(1+4%/4)2-1=2.01%
2年末时共存款4次,根据等额支付终值计算公式:F=[A·(1+i)n-1]÷i
其中A=2000,i=4%,n=4
故2年末存款本息和为:2000×[(1+2.01%)4-1]÷2.01%=8244.45元
11.某企业从银行贷款200万元,年贷款复利利率为4%,贷款期限为6年,6年后一次性还
本付息。该笔贷款还本付息总额为()万元。
A.243.33
B.248.00
C.252.50
D.253.06
【答案】D
【解析】考核的是一次支付终值的计算。
该笔贷款还本付息总额F=P(1+i)n=200×(1+4%)6=253.06万元。
12.某生产性建设项目,折算到第1年年末的投资额为6000万元,第2年年末的净现金流量
为1300万元,自第3年年末开始均为1600万元,直至第10年寿命期结束,则该建设项目
的静态投资回收期为()年。
A.3.81
B.4.94
C.4.06
D.4.08
【答案】B
【解析】本题考核的是静态投资回收期的计算。累计净现金流量见下表
13.某投资方案的初期投资额为1500万元,此后每年年末的净现金流量为400万元,若基准
收益率为15%,方案的寿命期为12年,则该方案的财务净现值为()万元。
A.668.24
B.3668.24
C.3575.29
D.2371.49
【答案】A
【解析】考查的是现值系数的计算方法。
财务净现值(FNPV)=现金流入现值之和-现金流出现值之和
(1)现金流出只发生在期初,故现金流出现值之和就是初期投资额1500万元。
(2)现金流入现值之和:每年年末的净现金流量为400万元,共计12年,相当于只已知年金求现值计算。
即:400×(P/A,15%,12)=400×[(1+15%)12-1]÷[15%×(1+15%)12]=2168.24万元
该方案的财务净现值FNPV=2168.24-1500=668.24万元
14.某技术方案设计年产量为10万吨,已知单位产品的销售价格为800元(含税价格),单
位产品税金为155元,单位可变成本为250元,年固定成本为1000万元,则以价格(含税
价格)表示的盈亏平衡点是()元/吨。
A.500
B.505
C.575
D.585
【答案】B
【解析】盈亏平衡等式:单位产品售价×产量-单位产品营业税金及附加×产量=固定成本+单位可变成本×产量
根据题意需要计算价格盈亏平衡点,其余均为已知量,代入盈亏平衡等式:
产品售价×10-155×10=1000+250×10[注意单位统一]
产品售价盈亏平衡点BEP(P)=(1000+250×10+155×10)÷10=505元/吨
注意:为了便于分析,本部分盈亏平衡点的计算中用到的成本及售价等均不考虑增值税。
15.某项目设计年产量为6万件,每件售价为1000元,单位产品可变成本为350元,单位产
品营业税金及附加为150元,年固定成本为360万元,则该项目产销量盈亏平衡点为()件。
A.18000
B.7200
C.9000
D.5400
【答案】B
【解析】盈亏平衡等式:单位产品售价×产量-单位产品营业税金及附加×产量=固定成本+单位可变成本×产量
根据题意需要计算产销量盈亏平衡点,其余均为已知量,代入盈亏平衡等式:
1000×产量-150×产量=360×10000+350×产量[注意固定成本“万元”需要转换成“元”]
故产销量盈亏平衡点BEP(Q)=3600000÷(1000-150-350)=7200台
16.某产品用生产能力利用率表示的项目盈亏平衡点为12%,计划年产量为6万件,每件售
价为100元,单位可变成本为35元,年固定成本为36万元,则单位产品营业税金及附加为
()元。
A.10
B.15
C.20
D.35
【答案】B
【解析】盈亏平衡等式:单位产品售价×产量-单位产品营业税金及附加×产量=固定成本+单位可变成本×产量
根据题意需要计算单位产品营业税金及附加,其余均为已知量,其中产量指的是盈亏平衡产量6×12%=0.72万件。代入盈亏平衡等式:
100×0.72-单位产品营业税金及附加×0.72=36+35×0.72
故单位产品营业税金及附加=(100×0.72-36-35×0.72)÷0.72=15元
17.对某技术方案进行单因素敏感性分析中,设甲、乙、丙、丁四个因素分别发生5%、10%、10%、15%的变化,使评价指标财务净现值分别产生10%、15%、25%、25%的变化,据此推断,最敏感的因素是
A.甲
B.乙
C.丙
D.丁
【答案】C
【解析】敏感度系数是指方案分析指标变化的百分率与不确定因素变化的百分率之比。计算公式如下:
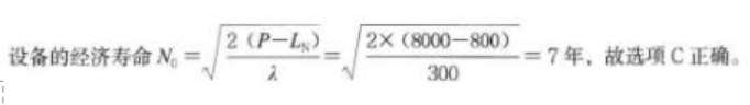
18.某设备目前的实际价值为8000元,预计残值800元,第一年设备运行成本600元,每年
设备的劣化增量是均等的,年劣化值为300元,则该设备的经济寿命是()年(取整)。
A.5
B.6
C.7
D.8
【答案】C
【解析】
注意对经济寿命计算公式的记忆,属于常规计算考点。
19.某设备4年前的原始成本是20万元,目前的账面价值是10万元,现在的市场价值仅为
6万元。在进行设备更新分析时,该设备的沉没成本是()万元。
A.4
B.6
C.10
D.16
【答案】A
【解析】设备的沉没成本=旧设备账面价值-当前市场价值=10-6=4万元
故选项A正确
20.租赁公司拟出租给某企业一台设备,设备的价格为68万元,租期为5年同寿命期,每年
年末支付租金,利率为10%,附加率为5%,则每年租金按照附加率法计算约为()万元(取整)。
A.12
B.15
C.18
D.24
【答案】D
【解析】附加率法每期租金R计算式:
R=P×(1+N×i)÷N+P×r=P÷N+P×(i+r)
对于上式按照加粗部分更好理解,设备原值价格分摊到每期,再加上利率与附加率的费用即为每期的租金。
设备原值价格P=68万元,租赁期数N=5年,利率i=10%,附加率r=5%,代入上式:
每年租金R=68÷5+68×(10%+5%)=23.8万元≈24万元
